Chiết khấu cao
Giao hàng toàn quốc- giao Siêu Tốc cho đơn hàng gấp

Đèn sấy Hồng Ngoại Đôi- Twin IR

Thương hiệu: Bóng đèn sấy UV, Hồng ngoại, Thạch anh, Ir công Nghiệp cho máy sấy gỗ, máy in, máy sấy keo UV,... Mã sản phẩm: (Đang cập nhật...)
Còn hàng
200.000₫ Giá thị trường: 400.000₫ Tiết kiệm: 200.000₫
Đèn sấy Hồng Ngoại Đôi- Twin IR

THÔNG TIN SẢN PHẨM ĐÈN SẤY HỒNG NGOẠI 

1: Có thể bật và tắt thường xuyên

2: Thời gian khởi động nhanh 1~2 giây khi làm nóng toàn bộ công suất

3: Công suất đầu ra có thể được điều chỉnh đơn giản bằng bộ điều chỉnh điện áp (điện áp định mức của đèn 0V~)

4: Kiểm soát nhiệt độ làm nóng chính xác (± 1oC) với bộ điều chỉnh SCR

5: Không gian lắp đặt nhỏ, vị trí đốt ngang hoặc dọc linh hoạt

6: Đối với tất cả các ứng dụng công nghiệp, nhiệt độ hoạt động cao nhất lên tới 1000oC

7: Chóa phản xạ vàng đặc biệt tỷ lệ phản chiếu 90% được phủ trên bề mặt thạch anh của đèn để phản xạ và tăng bức xạ hồng ngoại 

8: Công suất đầu ra mật độ cao hơn Công suất đầu ra bề mặt cao nhất của đèn sóng ngắn là 200KW/M 2.

9: Chúng tôi đảm bảo tuổi thọ trung bình là 5000h.

Xem thêm

Thông tin sản phẩm

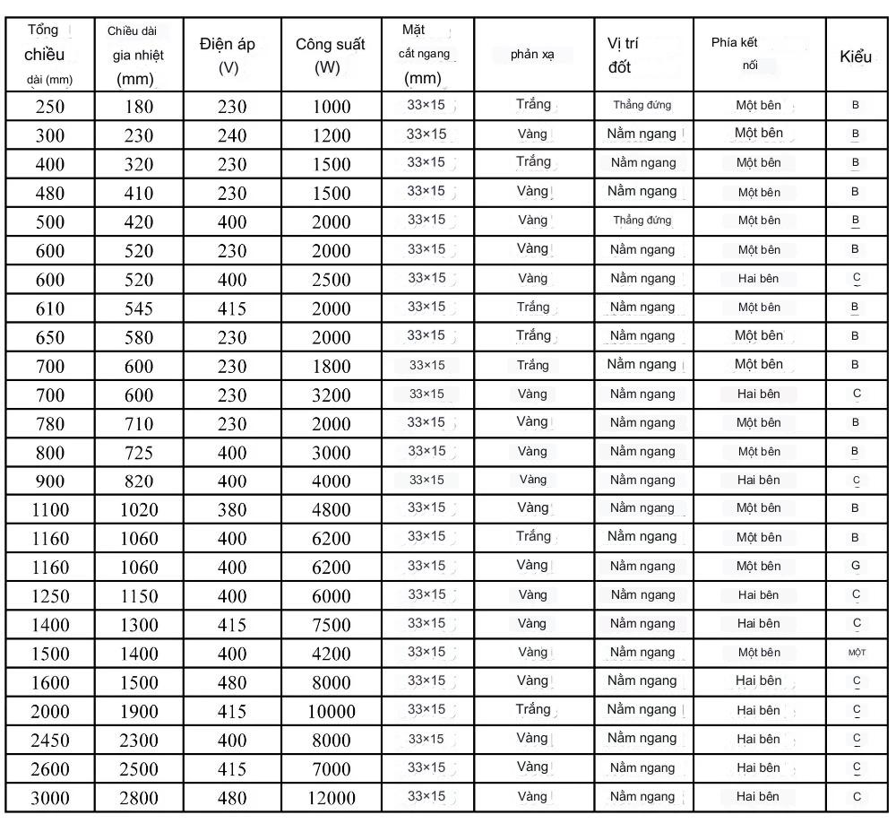
CÁC QUY CÁCH
Theo cấu hình của các dây tóc và cáp đầu cuối khác nhau, đèn hồng ngoại ống đôi sóng ngắn có thể được sản xuất theo cấu hình kết nối một bên hoặc hai bên sau đây. Và đèn hồng ngoại của chúng tôi có thể hoàn toàn là đèn thay thế cho máy Heidelberg.

Kết nối hai mặt Kết nối hai mặt
 
 
BẢN VẼ KỸ THUẬT

SM74-SW-C
400V 6950W 900mm
Được sử dụng trong: Speedmaster SM 74/CD 74 với hệ thống Dry Star 2000

Căng thẳng    Quyền lực    Tổng chiều dài    chiều dài nóng    Mặt cắt ngang    phản xạ    Vị trí đốt    Loại
400V    6950W    900mm    530mm/730mm    23×11mm    Vàng    Nằm ngang 

  
SẢN PHẨM TIÊU CHUẨN
Đèn hồng ngoại sóng ngắn được thiết kế với công suất làm nóng cao, phạm vi sóng bức xạ 1,0-1,4μm, đặc biệt thích hợp cho các quá trình gia nhiệt p

hản ứng nhanh. Bức xạ hồng ngoại sóng ngắn này thâm nhập sâu hơn vào vật liệu vì chúng có thể đạt được hiệu quả tối đa trong vòng vài giây. Ngoài ra, một tấm phản xạ màu trắng hoặc vàng có thể được gắn trực tiếp vào đèn hồng ngoại sóng ngắn để cải thiện bức xạ năng lượng trên vật liệu làm nóng.
Đèn hồng ngoại ống đôi sóng ngắn
Bước sóng tối đa    1,0 đến 1,4 mm
Thời gian đáp ứng    1 giây
Dây tóc sưởi ấm    vonfram
Nhiệt độ hoạt động của dây tóc    1800oC -2200oC
Mật độ công suất tối đa bề mặt    200kW/ m2
Mặt cắt ngang    23×11mm    33 × 15mm
Chiều dài tối đa    4,5m    6,0m
phản xạ    Gốm sứ trắng hoặc vàng
Vị trí đốt    Ngang hoặc Dọc.

VỀ TERA

Chào mừng bạn đến với Tera - chúng tôi là đơn vị chuyên cung cấp Bóng đèn sấy UV-IR-Thạch Anh Công Nghiệp. Với nhiều năm kinh nghiệm trong lĩnh vực kỹ thuật và thương mại, chúng tôi tự hào là đối tác phân phối hàng đầu, cung cấp các nhãn hiệu đèn hàng đầu như UV Light, Phillip, Lichtzent, và nhiều nhãn khác.

Nguồn lực chủ đạo của TERA hiện nay bao gồm đại diện cho các nhà máy sản xuất đèn UV-IR ở các khu vực như TAIWAN, SHENZHEN, JIANGSU. Điều này giúp chúng tôi đáp ứng đầy đủ mọi yêu cầu kỹ thuật từ đèn sấy UV-IR-Thạch anh phổ thông đến những loại phức tạp nhất. Chất lượng là giá trị cốt lõi của chúng tôi, và chúng tôi cam kết rằng mỗi sản phẩm đều đáp ứng tiêu chuẩn cao nhất về hiệu suất và độ bền.

Đội ngũ chuyên gia kỹ thuật của chúng tôi có kiến thức và kinh nghiệm sâu rộng về công nghệ sấy, giúp chúng tôi tư vấn và cung cấp giải pháp tùy chỉnh dựa trên yêu cầu cụ thể của từng khách hàng. Chúng tôi hiểu rằng mỗi ngành công nghiệp đều có yêu cầu riêng biệt, và chúng tôi luôn sử dụng kiến thức của mình để đảm bảo rằng khách hàng nhận được giải pháp tối ưu nhất cho quy trình sản xuất của họ.

Không chỉ chú trọng đến chất lượng sản phẩm, chúng tôi còn đặt sự hài lòng của khách hàng lên hàng đầu. Đội ngũ chăm sóc khách hàng của chúng tôi luôn sẵn sàng lắng nghe và đáp ứng mọi yêu cầu của bạn. Chúng tôi cam kết bảo hành tận tâm, đảm bảo rằng bạn sẽ nhận được sự hỗ trợ và chăm sóc từ chúng tôi trong suốt quá trình sử dụng sản phẩm.

Mục tiêu của chúng tôi là trở thành nhà cung cấp đèn công nghiệp hàng đầu trong nước. Chúng tôi có lợi thế lớn từ quy trình sản xuất nhanh và vận chuyển siêu tốc, giúp chúng tôi xử lý đơn hàng gấp trong thời gian ngắn (trong vòng 1 tuần). Hãy liên hệ với chúng tôi ngay hôm nay để được tư vấn và nhận giải pháp tốt nhất cho nhu cầu của bạn.

Giỏ hàng